(1)比較法
比較法測算股票投資風險的原理是比價原理,它通過比較兩只或幾只收益相等或相近的股票價格來測算股票的投資風險。
比較法認為、兩只或幾只收益相等或相近的股票相比時,股價較高的股票投資風險較大,股價較低的股票投資風險較小。
比較法直觀、簡單、易懂,容易被投資考接受和掌握,但它也存在一些明顯的缺點:
第一,比較法進行比較時,用的是過去的收益,而沒有考慮收益的成長性;
第二,比較法認為影響股價的因素僅僅是股票的收益,顯然存在片面性。
(2)價差法
價差法測算股票投資風險的基本原理是波動原理,它認為股價波動大的股票其投資風險也大,股價波動小的股票其投資風險也小。
價差法是采用一定時期內的最高價和最低價計算出來的價差來反映股價波動程度的大小,從而測算股票投資風險的大小。價差的計算公式是:
價差=(最高價—最低價)/Ⅱ(最高價+最低價)÷2Ⅱ×l00%
顯然,價差反映了股價波動程度大小,價差大,股價波動程度大,投資風險也大。
價差法可以用于兩種和兩種以上收益不同的股票的投資風險的比較。價差法測算股票投資風險的原理是波動原理,顯然它比比較法更加符合股市風險規律。股市風險的本質就是股價的不確定性或不穩定性,一個股價高度波動不穩定的市場,必然是一個高風險的市場。
(3)離差法
離差法是價差法的發展,其依據的原理仍然是波動原理,即認為股票投資風險的大小取決于股價的波動程度。離差法認為價差法只用最高價和最低價的波動幅度來測度風險是不全面的,因為它只考慮了兩個極端股價,而科學地測算股票投資風險大小,應考慮一定時期內的各個股價。
離差法定量測算股票投資風險最常用的一個指標是標準差,它反映了波動的股價對其波動中心(股價平均值)的波動程度(離散程度),標準差的數值越大,則股價的波動程度越大,股票的投資風險也越大。
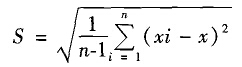
標準差的計算公式如下:

式中,S為某個時期某種股票價格的標準差,n為該時期內個股的價格,xi為該時期第i個股價,x為該時期該股票的平均價格。
以上就是測算個股風險的三種方法的主要內容,同時建議您訪問江恩看盤來提高自身的看盤實戰能力。
上一篇:股市上有哪些風險
下一篇:你做股票是按當初的入市計劃
經營性網站備案信息
中國互聯網違法和不良信息舉報中心
本站帶寬由
河南網絡
網絡 110
服務中心:鄭州市金水區農業路經三路
郵編:450002 網址:m.qianglikj.com
銷售熱線:0371-65350319
技術支持:13333833889